A F1 live timing client built for the terminal
Pitwall brings real-time Formula 1 data directly to your terminal. Track live timing, driver standings, and race updates with a lightweight, open-source client designed for speed.
Read docs→brew install AidanFogarty/tap/pitwall

Features
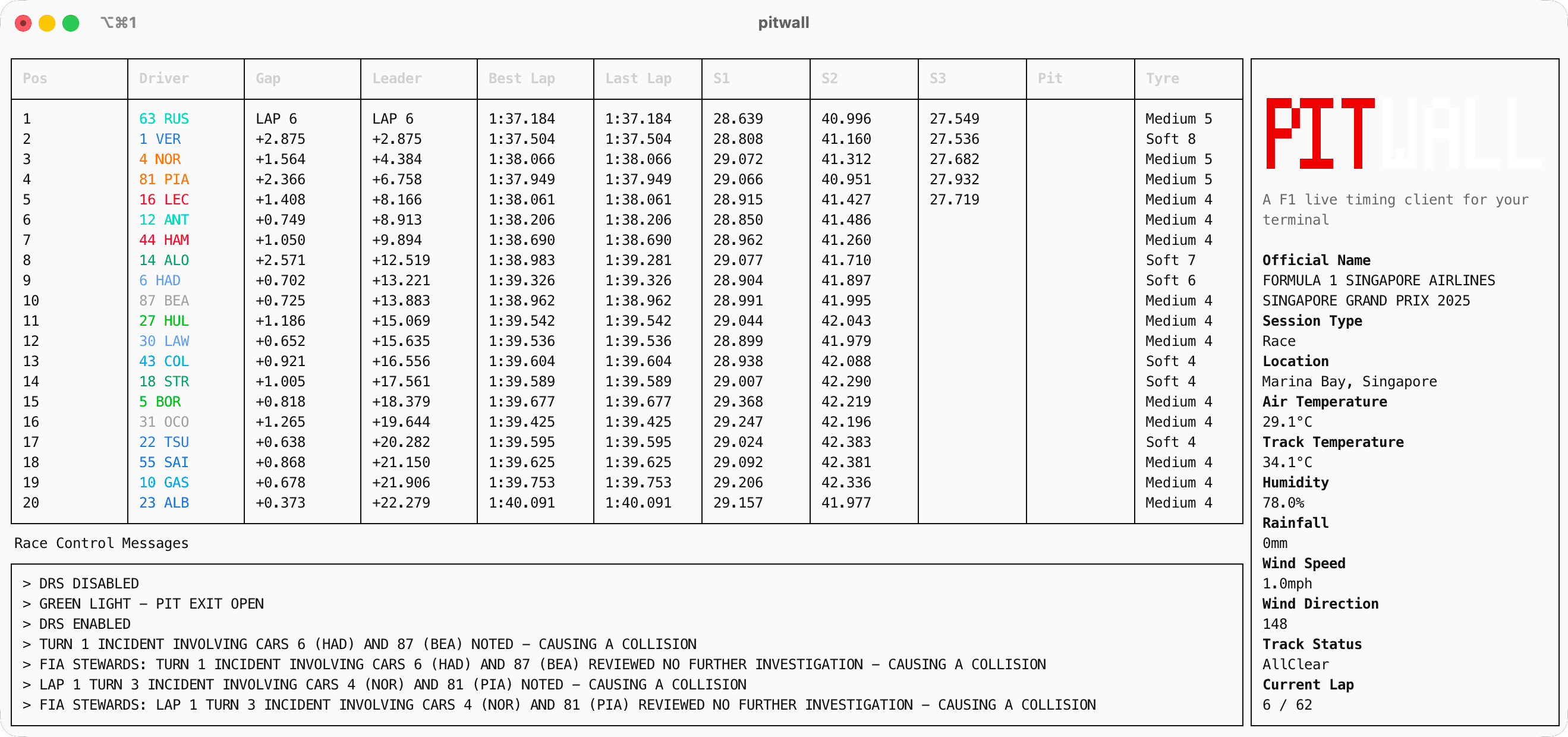
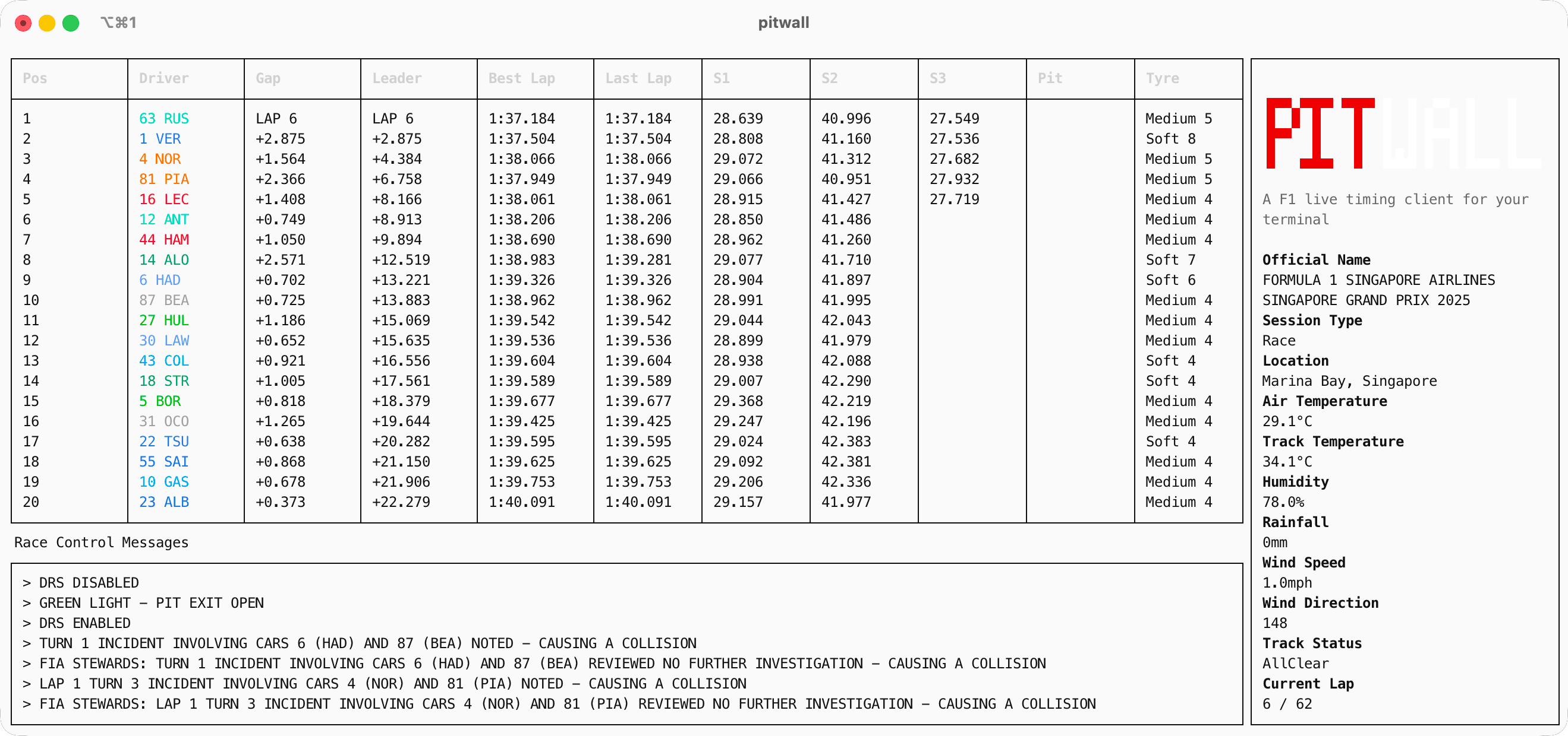
Live race data and timing information delivered to your terminal.
Timing Tower
Real-time race positions, sector times, gap analysis, and tyre strategy tracking
Race Control
Live feed of official race control messages and track status updates
Session Intelligence
Comprehensive session data including weather conditions and track information


Coming Soon
Additional features currently in development.
Sector Time Visualization
Color-coded sector times displaying purple for fastest overall and green for personal best
Driver Tracker & Telemetry
Live circuit map with driver positions and comprehensive car telemetry data
Live Championship Standings
Real-time updates of championship standings, including driver standings, team standings, and points distribution